Differentiator
Description of the Differentiator component in Schematic Editor, which calculates the input signal rate of change.
Component Icon
Description
The differentiator calculates and outputs the input signal rate of change.
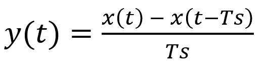
If the input signal of the Differentiator component is given by x(t), the output signal, y(t), is given by the following equation where Ts is the value of the Signal Processing execution rate:
Figure 2 illustrates the behavior of the output, y(t), of the Differentiator component if a triangular waveform signal, x(t), is connected to its input:

Ports
- Input (in)
- Input signal.
- Supported types: uint, int, and real.
- Vector support: yes.
- Input signal.
- Output (out)
- A derivative of the input signal.
- Supported types: uint, int, and real.
- Vector support: yes.
- The vector length is inherited from the input signal.
- A derivative of the input signal.
Properties
- Execution rate
- Type in the desired signal processing execution rate. This value must be compatible with other signal processing components of the same circuit: the value must be a multiple of the fastest execution rate in the circuit. There can be up to four different execution rates. To specify the execution rate, you can use either decimal (e.g. 0.001) or exponential values (e.g. 1e-3) in seconds. Alternatively, you can type in ‘inherit’ in which case the component will be assigned execution rate based on the execution rate of the components it is receiving input from.